— 企業新聞 —
大中電機歡迎您
 全國免費客服電話  187-1797-6220 
                        地址:上海市松江區莘磚公路399弄
電話:021-6992-5088
手機:187-1797-6220 朱經理
郵箱:18717976220@163.com
發布時間:2021-03-15 13:00
伺服系統的設計包括:
伺服系統靜態設計的動態方法設計
伺服電機型號和電機機械系統參數相互匹配。
控制理論方法設計-控制器參數和動態性能指標
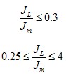
一,慣性匹配:
(1)。等效負載慣量JL計算
1.驅動轉子的慣性矩:
旋轉運動的動能:
根據節能:
推廣到多軸系統:
 2.線性運動物體的等效慣性矩:使用螺母驅動工作臺的示例:
線性運動臺的動能:
根據能量守恒,該能量被轉換為電動機軸的旋轉動能。
擴展為通用系統:
 3.旋轉和線性耦合裝置的等效轉動慣量:
(2)慣量匹配原理1.步進電機的慣量匹配條件:
慣性負載的最大啟動頻率:
 2.交直流伺服電機的慣量匹配原理:使用慣性較小的直流伺服電機的伺服系統
對于使用大慣量直流伺服電機的伺服系統
 2.匹配容量:(1)計算等效扭矩
1.計算等效負載轉矩[TL]
根據能量守恒定律:
一些機械設備在軸上作用的載荷不止一個。此時,值為
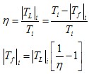
 2.計算等效摩擦轉矩[Tf] 由于機械設備損失的大部分功率是為了克服摩擦力,因此,基于等效摩擦轉矩的機械效率進行粗略估算即可完成任務:
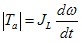
 3.計算等效轉動慣量[Ta] 電動機改變速度時,需要一定的加速轉矩。
(2個)伺服電機容量匹配原理1.步進電機容量匹配
 2.交流和直流伺服電機的容量匹配:直流伺服電機的轉矩-速度特性曲線分為連續工作區域,間歇工作區域和加減速工作區域。電機轉矩選擇方法不同。在工程中,根據電動機加熱條件的等效原理,重復的短時工作系統等效于要選擇的電動機的連續工作系統。
3,速度匹配
對于動力電動機,額定速度越高,電動機尺寸越小,重量越輕。電機速度越高,傳動比越大,這有助于減小等效轉動慣量。增加了伺服電動機和電動機的負載能力。因此,電動機通常以高轉速和低轉矩運行。然而,機械裝置在低速和高轉矩條件下運行,因此有必要在伺服電動機和機械裝置之間匹配減速器。減速器的減速比應根據負荷分析合理選擇。
4.伺服電機選擇示例:
(1)步進電機選擇示例
工作臺(托架)的重量為W=2000N,托架導軌之間的摩擦系數為μ=0.06,最大車削切削力為FZ=2150N,y方向的切削分力Fy=2FZ=。 4300N(垂直于導軌),要求切削刀具的進給速度v1=10-500mm/min,快速沖程速度v2=3000mm/min,額定滾珠絲杠直徑d0=32mm,導程tsp=。 6mm,螺絲的總長度l=1400mm,滑架的最大行程為1150mm,定位精度為±0.01mm,選擇合適的步進電機。
圖4.18步進電動機驅動工作臺1.脈沖等效選擇:在主要選擇中,三相步進電動機的步進角為0.75°/1.5°。步距角θ=0.75°,每轉脈沖數S=360°/θ=480。根據脈沖當量的定義,首先選擇的脈沖當量δ=0.01mm,可得到如下中間齒輪傳動比i 。
選擇
小齒輪齒數Z1=20,Z2=25。模塊m=2 2.計算等效負載轉矩
(1)空載時的等效摩擦轉矩Tf
(2)轉動期間的等效負載轉矩TL
 3.等效轉動慣量(1)滾珠絲杠轉動慣量Jsp
(2)轉換為電機軸JW的滑架運動慣性矩
(3)大齒輪Jg2的慣性矩
(4)小齒輪Jg1的慣性矩
 4.電動機型號的主要選擇已知TL=241.4(N.cm。),JL=7.76(N.cm. s2),主要電機型號為110BF003,
此處可獲得最大靜態轉矩Tmax=800,轉子慣性Jm=4.7(N.cm. s2)。
慣性匹配和容量匹配條件5.速度驗證
(1)檢查快進速度
當fmax=6000HZ時,檢查步進電機的工作轉矩-頻率曲線。
電動機轉矩Tm=90(Ncm)Tf=11.46,根據該頻率,可以計算最大進給率v2。
(2)檢查運行速度計算
總之,您可以選擇這種類型的電動機(2)DC伺服電動機選擇示例
線性位移脈沖當量δ=0.01mm,最大進給速度v2=6000mm/min,加速時間0.2s,移動重量W=2000N,移動速度6m/min,滑軌之間的摩擦系數μ=0.065,電機絲杠直接開車。絲杠的外徑為55mm,因此請選擇合適的DC伺服電機。
圖4.19直流伺服電動機驅動工作臺1.根據脈沖當量確定導螺桿和齒輪比。
如果知道δ和編碼器分辨率,則可以知道步距角。
轉換為電動機軸
 2.計算所需的電動機速度
 編碼器軸的轉速
 
3.等效負載轉矩的計算
預緊力F2=F1/3=433.33(N)
 4.等效轉動慣量的計算移動體傳動體
 5.電動機模型的主要選擇TL=200.45(N.cm),JL=245(kg.cm2),電動機模型的主要選擇稱為CN-800-10,
。此處可獲得最大靜態轉矩TR=830(N.cm),轉子慣性Jm=91(kg.cm2)。
 6.計算電動機所需的轉矩Tm。
                相關推薦
在線留言